 
      
      
	对于高效液相色谱(HPLC)研究,供试品溶液具有足够的稳定性至关重要,特别是有关物质检测。如果物质在溶液中分解过快,可能会因降解而测试失败。常规测试中,如果溶液在数小时内稳定是比较理想的。即使分析序列较长,也可以处理完样品后立即进行。因此,在方法开发过程中,如果各化合物可得的前提下,尽早考察溶液的稳定性非常有帮助。
此外,对于较长的分析序列,通常很难保障溶液具有足够的稳定性。这种情况,配备冷却功能的自动进样器很有帮助,样品瓶可以控制在 4 - 10°C 范围,以降低其降解速率。
样品基质会改变样品溶液的 pH 值,从而导致分析物的不稳定。因此,建议检查样品溶液的 pH 值。这是检测样品溶剂是否具有足够缓冲能力的唯一方法。
溶液稳定性按照方案考察就行,除了正常的考察,掌握一些基本的化学常识,很有必要,下面列出了一些常见的不稳定性的化学反应及减缓这些反应的措施
水解-案例1

措施:使用微酸性的样品溶剂或缓冲液,pH 值<6.5
水解-案例2

措施:glymo及类似化合物在水溶液中不稳定,这些分子只能在诸如戊烷等非极性溶剂中储存。对于需要在水性环境中的分析,例如在碱性溶液中,这些分子会发生水解,形成非常稳定的水解产物。对于极易水解的物质,通常先将其水解,然后在进行分析。
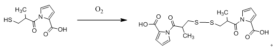
氧化-案例3

措施:许多化合物对氧化敏感,有效的措施是减少氧气的来源:比如去除样品溶液中的氧气;充入惰性气体;加入抗氧剂,比如抗坏血酸已被证明对许多药物的水溶液有效;加入EDTA 去除催化反应的任何重金属等都可以改善降解;
酯化-案例4
虽然羧酸通常在有机溶剂中具有良好的溶解性,但在酸存在的情况下,它们很容易与甲醇反应,形成相应的甲酯

措施:加入5-10%的水可防止甲基酯的生生成
差向异构化-案例5
措施:可以通过将溶液酸化至大约pH=2来防止差向异构化。需要注意的是,四环素通常具有非常高的反应活性,形成的差向异构体通常是不需要的产物。
重排-案例6

措施:光致氧化可以通过光防护来抑制。这可以通过使用琥珀色玻璃瓶实现。琥珀色玻璃能过滤掉大部分(近)紫外线,从而得到棕色玻璃。通过将样品放入琥珀色玻璃瓶中并进行催化氧化,可以避免光致氧化。然而,在某些情况下为了检测硫醇盐,有必要允许光致氧化发生。
热异构体-案例7

措施:通过低温储存来减缓热异构化
吸附-案例8
季铵盐化合物,如苄索氯铵倾向于吸附在玻璃或金属表面,其他的如顺苯磺酸阿曲库铵也会,刘老师的公众号 “色谱随笔”《样品瓶吸附API》一文中已经讲过。

措施:通过将样品溶剂酸化可以防止表面吸附。通常添加1%的乙酸或水(至少 10%)会有所帮助。根据具体情况,使用塑料容器会很有帮助。添加表面活性剂,如十二烷基硫酸钠,也已被证明非常有用。分析物的浓度越低,吸附造成的损失就越显著。
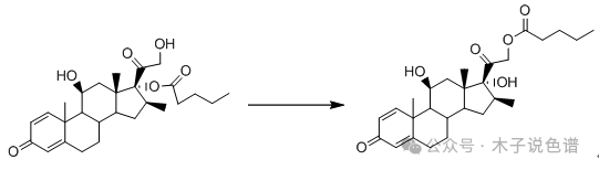
酯基重排-案例9

措施:通过轻微酸化(大约pH=4)可以使皮质类固醇 17-单酯稳定。
免责声明:本站提供的一切文章和内容信息仅限用于学习和研究目的;不得将上述内容用于商业或者非法用途,否则,一切后果请用户自负。本站信息来自网络收集整理,版权争议与本站无关。我们非常重视版权问题,如有侵权请邮件与我们联系处理。敬请谅解!
本文最后更新于2025-04-22 08:36:53,如果你的问题还没有解决,可以加入交流群和群友们一起讨论。