概述
影响药物稳定性的因素主要包括三个方面:化学不稳定、物理不稳定、生物不稳定。
(1)化学不稳定是指药物由于氧化、水解、聚合、异构、脱羧,以及药物相互作用而产生的化学反应。
(2)物理不稳定要是由于温度、湿度等因素引起物理状态的改变(如无定型、多晶型)。
(3)生物不稳定是指微生物污染、发酵、分解、变质等。
微生物不稳定可通过一些列灭菌、除菌、抑菌剂等方法得到控制,以下主要学习化学稳定性和物理稳定性理论基础,为生物制药领域产品设计上提供指导。
偶然加入甲酸形成低pH主要也是之前总结发现很多胺类化合物试剂总是以一些盐酸盐,草酸盐等形式,虽然很多和生成工艺流程有关,但猜想和化合物稳定性也存在一定关系!例如安非他酮产品是盐酸盐形式,而羟基安非他酮不是盐形式。
拓展资料: 化学分析推荐怎样把握好杂质研究与控制的“度”
拓展资料:怎么识别强制降解试验与影响因素试验
化学降解途径
由于药物的化学结构不同,其降解反应也不同,水解(hydrolysis)和氧化(oxidation)是药物降解的两个主要途径,其他如异构化、聚合、脱羧等反应在某些药物中也有发生。有时一种药物还可能同时产生两种或两种以上的反应。
1.水解(hydrolysis)
水解是药物降解的主要途径,这类药物中一般含有酯类、酰胺类等。
1.1 酯类药物水解
含有酯键药物的水溶液,特别是在碱性溶液中,由于酯类药物分子中氧的电负性比碳大,酰基易于被极化,亲核性试剂OH-易于与酰基上的碳原子反应,OH-亲核取代O从而使酰-氧键断裂,生成醇和酸。

图1. 普鲁卡因(Procalne)水解
1.2 酰胺类药物水解
酰胺类药物与酯类药物相似,一般情况下较酯类药物稳定,水解后生成相应的酸和胺。

图2. 氯霉素(Chloramphenicol)水解
2. 氧化(oxidation)
氧化也是药物变质的主要途径之一。在有机化学中常把失去电子或脱氢统称为氧化。药物的氧化分解通常是自动氧化(autoxidation),即在大气中氧的影响下自动、缓慢地进行。药物的氧化过程与化学结构有关,但大多数情况下,药物是在催化剂、热或光等因素的影响下与氧形成游离基,产生游离基的链反应。
常把失去电子统称易氧化物质,下述易氧化物质常含有孤对电子(例如N、O元素)。
2.1 烯醇类药物
分子中含有烯醇基,极易氧化。

图3. 维生素 C的氧化
2.2 酚类药物
分子具有酚羟基,如肾上腺素、左旋多巴、吗啡、阿扑吗啡、水杨酸钠等。

图4. 肾上腺素的氧化
2.3 其它类药物
芳胺类(磺胺嘧啶钠)吡唑酮类(氨基比林、安乃近、噻嗪类(盐酸氯丙嗪、盐酸异丙嗪)等药物都易氧化,其中有些药物的氧化过程极为复杂,常生成有色物质。

图5. 其它类药物的氧化
3. 其它反应
3.1 聚合
聚合(polymerization)是两个或多个分子结合在一起形成复杂分子的过程。氨苄西林的水溶液在贮存过程中发生聚合反应,一个分子的β-内酰胺环开裂,与另一个分子反应形成二聚物,继而形成高聚物。

图6. C.氨苄西林的氨基
与β-内酰胺环的反应 D.氨苄西林的氨基与羧基的反应[2]
3.2 异构化
异构化一般分为光学异构化和几何异构化两种。药物异构化后,通常生理活性降低甚至没有活性。如左旋肾上腺素具有生理活性,在pH4左右产生外消旋化(体系中的一半量发生构型转化),只有50%的活性。
3.3 脱羧
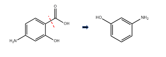
对氨基水杨酸钠在光、热,水分存在的特殊条件下很容易脱羧,生成间氨基酚,后者还可进一步氧化变色。普鲁卡因的水解产物对氨基苯甲酸可缓慢脱羧生成苯胺,苯胺在光线的影响下氧化生成有色物质,这是盐酸普鲁卡因注射液颜色变黄的原因。

影响因素及稳定化方法
1. 处方因素及稳定措施
pH、广义的酸碱催化、溶剂、离子强度、表面活性剂、某些辅料等因素均可影响药物的稳定性。
以下主要介绍pH因素对药物的稳定性影响;
1.1pH值
许多酯类、酰胺类药物常受H+或OH-催化水解,这种催化作用称为专属酸碱催化,此类药物的水解速度主要由pH决定。
pH对速度常数k的影响可用下式表示:


图8. 常数k的计算,(lgkH+,lgkOH-作为已知常数)
最稳定的pH值(pHm)可表达为:

pHm一般是通过实验求得,即配制一系列不同pH值的溶液,在较高温度下(恒温,例如60℃)下进行加速实验,求出各种pH溶液的速度常数k,然后以lgk对pH值作图。

图9. pH-速度图
pH-速度图有各种形状,一种是V型图,典型V型不常见,硫酸阿托品、青霉素G在一定pH值范围内的pH-速度图与V型相似,某些药物的pH-速度图呈S型,如乙酰水杨酸的水解pH-速度图,盐酸普鲁卡因pH速度图有一部分呈S型。

图10. 37℃普鲁卡因pH-速度图
2.外界因素及稳定措施
1.温度的影响
增加温度通常能显著增加药物的降解速率。根据Van’t Hoff规则,温度每升高10℃,许多反应的速率增加2~3倍。Arrhenius指数定律定量描述了温度与反应速率之间的关系,是预测药物稳定性的主要理论依据。

图11. 阿伦尼乌斯方程,
式中,k为速度常数,A为频率因子,Ea为活化能,R为摩尔气体常数,T为绝对温度
控制措施:
生产中采取特殊的工艺,如冷冻干燥、无菌操作等,同时产品要低温贮存,以保证产品质量。
2.光线的影响
光线的影响在制剂生产与产品的贮存过程中,还必须考虑光线的影响。光能像热能一样,也可以提供发生反应所需要的活化作用。辐射能量的单位称为光子。光子的能量与波长成反比,光线波长越短,能量越大,故紫外线更易激发化学反应。
控制措施:
光敏感的药物还有氯丙嗪、异丙嗪、维生素B、氢化可的松、泼尼松、叶酸、维生素A、维生素B,光敏感的药物制剂在制备过程中要避光操作,采用棕色玻璃瓶包装或容器内衬垫黑纸,避光贮存。
3.空气(氧)的影响
大气中的氧是引起药物制剂氧化的主要因素。
控制措施:
在制剂中加人抗氧剂(antioxidants)是有效措施之一。一些抗氧剂本身为强还原剂,遇氧后首先被氧化,从而对易氧化药物起保护作用,在此过程中抗氧剂逐渐被消耗(如亚硫酸盐类)。另一些抗氧剂是链反应的阻化剂,能与游离基结合,中断链反应的进行,在此过程中其本身不被消耗。
4.金属离子的影响
制剂中的微量金属离子主要来自于原辅料、溶剂、容器以及操作过程中使用的工具等。微量金属离子对自动氧化反应有显著的催化作用,如0.0002mol/L的铜能使维生素C的氧化速度增大1万倍。铜、铁、钴、镍、锌、铅等离子都有促进氧化的作用。
控制措施:
要避免金属离子的影响,应选用纯度较高的原辅料,操作过程中不要使用金属器具,可加入螯合剂,如枸檬酸、酒石酸、EDTA等。
5.湿度和水分的影响
空气中的湿度与物料中的含水量对固体药物制剂的稳定性具有较大的影响。水是化学反应的媒介,对于一些化学稳定性较差的固体药物,吸附了水分后,在表面形成一层液膜使药物产生降解反应。如阿司匹林、青霉素钠盐、对氨基水杨酸钠等。
控制措施:
在生产和贮存中,降低湿度,正确选择包装。
案例应用
01
概述
安非他酮(Bupropion)属于氨基酮类抗抑郁药,其化学式为C13H18ClNO,结构式如下;但作者实验过程中发现安非他酮在BSA或小牛血清基质中表现出非常不稳定,加速实验(温度37℃±2℃,相对湿度75%±5%)放置24h降解35%~40%,作者加入系列抗氧化剂加速稳定性仍无法解决,在偶然一次实验加入甲酸形成低pH后,加速稳定性数据可以稳定到第5天只降解5%-10%,而对于安非他酮代谢物羟基安非他酮在BSA或小牛血清基质中7天均表现非常稳定。

图11. 安非他酮结构式

图12. AGNP精神治疗药物监测共识指南 显示安非他酮不稳定
02
案例分析
安非他酮主要功能团为羰基R1-CO-R2
1.如果考虑水解,亲核试剂OH-与酰基中的C反应,不足以断开C-C键。
2.第二种情况就是亲核加成,在水溶液中,特别是碱性溶液中存在OH-,OH-由于含有孤独电子,是个很好的亲核试剂(Nu),同时安非他酮羰基O电负性大,导致羰基C电子为贫电子,OH-亲核加成。

图13. 常见亲核试剂的集合。

图14. 亲核取代示意图

图15. 由于羰基C的亲电子特性,醛和酮会受到亲核试剂的攻击

图16. 亲核加成示意图
上述提到羟基安非他酮加速稳定性实验很稳定,与原型安非他酮有着天壤之别,如下图所示为羟基安非他酮的结构式,当羟基OH-取代甲基形成代谢物后其构型发现改变,原来羰基O变为羟基,而OH-作为亲核取代中的离去基团(Leaving Groups)是非常差的,一般不能发生亲核取代反应,也无加成。

图17. 羟基安非他酮结构式
Excellent | TsO-, NH3 |
Very Good | I-, H2O |
Good | Br- |
Fair | Cl- |
Poor | F- |
Very Poor | HO-, NH2-, RO- |
表1. 常见的离去基团分类
当然质谱本身是以筛选不同质荷比(m/z),所以上述理论猜想可以通过检测安非他酮亲核加成产物质荷比(m/z)是否存在加以证明?证明存在后可以通过安非他酮浓度降解量与亲核加成产物增加量作相关性分析以及相对偏倚分析,可以得到该降解途径在总降解中的比例。
03
解决措施
如分析以证明上述猜想后,我们知道无论是碱性催化水解以及亲核加成,均涉及到阴离子OH-, OH-在两种模式中均为亲核试剂与羰基C发生反应;所以我们只需去除亲核试剂OH-即可。
①如果是液体制剂形式我们可以加入酸性缓冲液以控制在较低pH,例如加入甲酸、醋酸、三氯乙酸等。
②可以冷冻干燥技术制作固体粉末,没有水也不会电离出OH-,同样可以起到保护的作用。
拓展资料: 化学分析推荐怎样把握好杂质研究与控制的“度”
拓展资料:怎么识别强制降解试验与影响因素试验
免责声明:本站提供的一切文章和内容信息仅限用于学习和研究目的;不得将上述内容用于商业或者非法用途,否则,一切后果请用户自负。本站信息来自网络收集整理,版权争议与本站无关。我们非常重视版权问题,如有侵权请邮件与我们联系处理。敬请谅解!
本文最后更新于2023-10-30 09:23:10,如果你的问题还没有解决,可以加入交流群和群友们一起讨论。